Election Officers Will Be Prepared Regardless of Lawsuit
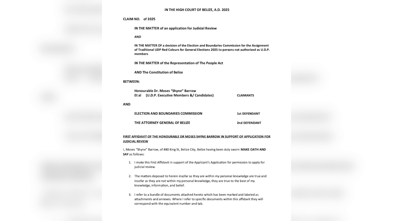
What about the lawsuit Moses “Shyne” Barrow filed against the Elections and Boundaries Commission over the color assignments? Tamai said that while the case is still before the courts, her department must be prepared to act accordingly. That’s why she’s continuing with the training sessions, regardless.

Josephine Tamai
Josephine Tamai, Chief Elections Officer
“I’m certain that that will be dealt with, with the legal persons, but at the same time, I want to say that we still need to be prepared. And if the High Courts would make whatever decision, then we will act based on the decision that has been taken. That is why we’re still continuing training. We still need to do what needs to be done. And similar to what happened when we had a referendum a couple years ago, we have to be prepared as Election and Boundaries. And so whatever decision will be taken, we will take action based on that decision.”


Facebook Comments